



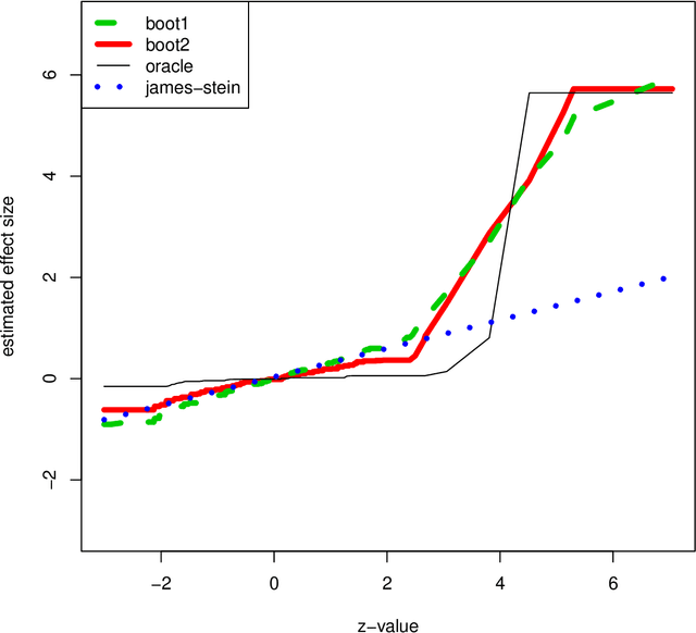
With recent advances in high throughput technology, researchers often find themselves running a large number of hypothesis tests (thousands+) and esti- mating a large number of effect-sizes. Generally there is particular interest in those effects estimated to be most extreme. Unfortunately naive estimates of these effect-sizes (even after potentially accounting for multiplicity in a testing procedure) can be severely biased. In this manuscript we explore this bias from a frequentist perspective: we give a formal definition, and show that an oracle estimator using this bias dominates the naive maximum likelihood estimate. We give a resampling estimator to approximate this oracle, and show that it works well on simulated data. We also connect this to ideas in empirical Bayes.