



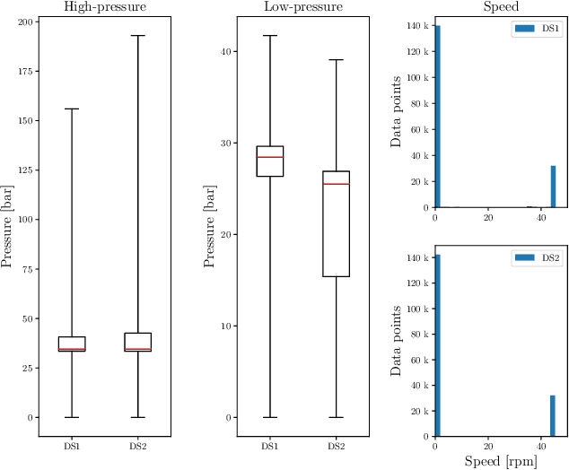
Mining 4.0 leverages advancements in automation, digitalization, and interconnected technologies from Industry 4.0 to address the unique challenges of the mining sector, enhancing efficiency, safety, and sustainability. Conveyor belts are crucial in mining operations by enabling the continuous and efficient movement of bulk materials over long distances, which directly impacts productivity. While detecting anomalies in specific conveyor belt components, such as idlers, pulleys, and belt surfaces, has been widely studied, identifying the root causes of these failures remains critical due to factors like changing production conditions and operator errors. Continuous monitoring of mining conveyor belt work cycles for anomaly detection is still at an early stage and requires robust solutions. This study proposes two distinctive pattern recognition approaches for real-time anomaly detection in the operational cycles of mining conveyor belts, combining feature extraction, threshold-based cycle detection, and tiny machine-learning classification. Both approaches outperformed a state-of-the-art technique on two datasets for duty cycle classification in terms of F1-scores. The first approach, with 97.3% and 80.2% for normal and abnormal cycles, respectively, reaches the highest performance in the first dataset while the second approach excels on the second dataset, scoring 91.3% and 67.9%. Implemented on two low-power microcontrollers, the methods demonstrated efficient, real-time operation with energy consumption of 13.3 and 20.6 ${\mu}$J during inference. These results offer valuable insights for detecting mechanical failure sources, supporting targeted preventive maintenance, and optimizing production cycles.