



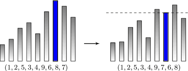
Permutation codes were extensively studied in order to correct different types of errors for the applications on power line communication and rank modulation for flash memory. In this paper, we introduce the neural network decoders for permutation codes to correct these errors with one-shot decoding, which treat the decoding as $n$ classification tasks for non-binary symbols for a code of length $n$. These are actually the first general decoders introduced to deal with any error type for these two applications. The performance of the decoders is evaluated by simulations with different error models.