



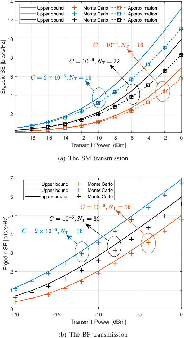
The performance of transmission schemes is heavily influenced by the wireless channel, which is typically considered an uncontrollable factor. However, the introduction of reconfigurable intelligent surfaces (RISs) to wireless communications enables the customization of a preferred channel for adopted transmissions by reshaping electromagnetic waves. In this study, we propose multi-timescale channel customization for RIS-assisted multiple-input multiple-output systems to facilitate transmission design. Specifically, we customize a high-rank channel for spatial multiplexing (SM) transmission and a highly correlated rank-1 channel for beamforming (BF) transmission by designing the phase shifters of the RIS with statistical channel state information in the angle-coherent time to improve spectral efficiency (SE). We derive closed-form expressions for the approximation and upper bound of the ergodic SE and compare them to investigate the relative SE performance of SM and BF transmissions. In terms of reliability enhancement, we customize a fast-changing channel in the symbol timescale to achieve more diversity gain for SM and BF transmissions. Extensive numerical results demonstrate that flexible customization of channel characteristics for a specific transmission scheme can achieve a tradeoff between SE and bit error ratio performance.