



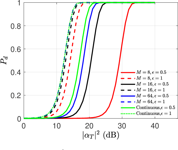
This paper focuses on the joint synthesis of constant envelope transmit signal and receive filter aimed at optimizing radar performance in signal-dependent interference and spectrally contested-congested environments. To ensure the desired Quality of Service (QoS) at each communication system, a precise control of the interference energy injected by the radar in each licensed/shared bandwidth is imposed. Besides, along with an upper bound to the maximum transmitted energy, constant envelope (with either arbitrary or discrete phases) and similarity constraints are forced to ensure compatibility with amplifiers operating in saturation regime and bestow relevant waveform features, respectively. To handle the resulting NP-hard design problems, new iterative procedures (with ensured convergence properties) are devised to account for continuous and discrete phase constraints, capitalizing on the Coordinate Descent (CD) framework. Two heuristic procedures are also proposed to perform valuable initializations. Numerical results are provided to assess the effectiveness of the conceived algorithms in comparison with the existing methods.