



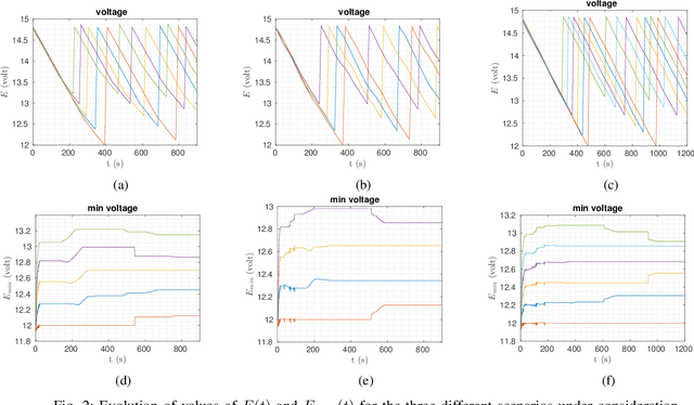
One aspect of the ever-growing need for long term autonomy of multi-robot systems, is ensuring energy sufficiency. In particular, in scenarios where charging facilities are limited, battery-powered robots need to coordinate to share access. In this work we extend previous results by considering robots that carry out a generic mission while sharing a single charging station, while being affected by air drag and wind fields. Our mission-agnostic framework based on control barrier functions (CBFs) ensures energy sufficiency (i.e., maintaining all robots above a certain voltage threshold) and proper coordination (i.e., ensuring mutually exclusive use of the available charging station). Moreover, we investigate the feasibility requirements of the system in relation to individual robots' properties, as well as air drag and wind effects. We show simulation results that demonstrate the effectiveness of the proposed framework.