



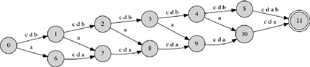
In order to successfully model Long Distance Dependencies (LDDs) it is necessary to understand the full-range of the characteristics of the LDDs exhibited in a target dataset. In this paper, we use Strictly k-Piecewise languages to generate datasets with various properties. We then compute the characteristics of the LDDs in these datasets using mutual information and analyze the impact of factors such as (i) k, (ii) length of LDDs, (iii) vocabulary size, (iv) forbidden subsequences, and (v) dataset size. This analysis reveal that the number of interacting elements in a dependency is an important characteristic of LDDs. This leads us to the challenge of modelling multi-element long-distance dependencies. Our results suggest that attention mechanisms in neural networks may aide in modeling datasets with multi-element long-distance dependencies. However, we conclude that there is a need to develop more efficient attention mechanisms to address this issue.