



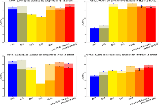
The inaccessibility of controlled randomized trials due to inherent constraints in many fields of science has been a fundamental issue in causal inference. In this paper, we focus on distinguishing the cause from effect in the bivariate setting under limited observational data. Based on recent developments in meta learning as well as in causal inference, we introduce a novel generative model that allows distinguishing cause and effect in the small data setting. Using a learnt task variable that contains distributional information of each dataset, we propose an end-to-end algorithm that makes use of similar training datasets at test time. We demonstrate our method on various synthetic as well as real-world data and show that it is able to maintain high accuracy in detecting directions across varying dataset sizes.