



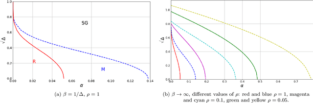
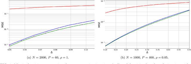
Matrix factorization is an important mathematical problem encountered in the context of dictionary learning, recommendation systems and machine learning. We introduce a new `decimation' scheme that maps it to neural network models of associative memory and provide a detailed theoretical analysis of its performance, showing that decimation is able to factorize extensive-rank matrices and to denoise them efficiently. We introduce a decimation algorithm based on ground-state search of the neural network, which shows performances that match the theoretical prediction.