


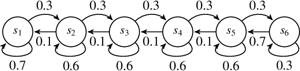
At the working heart of policy iteration algorithms commonly used and studied in the discounted setting of reinforcement learning, the policy evaluation step estimates the value of state with samples from a Markov reward process induced by following a Markov policy in a Markov decision process. We propose a simple and efficient estimator called \emph{loop estimator} that exploits the regenerative structure of Markov reward processes without explicitly estimating a full model. Our method enjoys a space complexity of $O(1)$ when estimating the value of a single positive recurrent state $s$ unlike TD (with $O(S)$) or model-based methods (with $O(S^2)$). Moreover, the regenerative structure enables us to show, without relying on the generative model approach, that the estimator has an instance-dependent convergence rate of $\widetilde{O}(\sqrt{\tau_s/T})$ over steps $T$ on a single sample path, where $\tau_s$ is the maximal expected hitting time to state $s$. In preliminary numerical experiments, the loop estimator outperforms model-free methods, such as TD(k), and is competitive with the model-based estimator.