


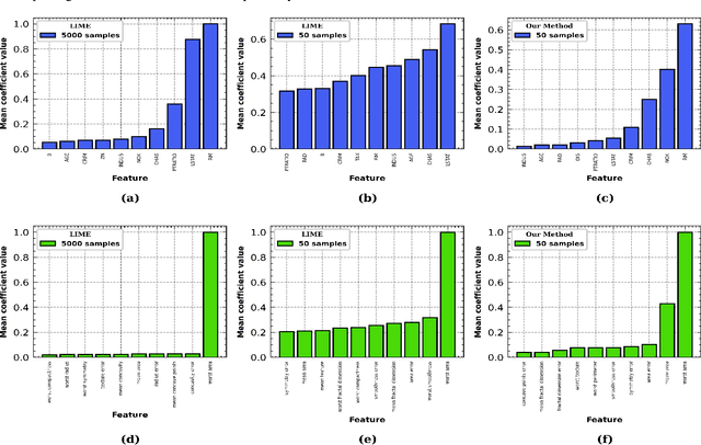
Owing to tremendous performance improvements in data-intensive domains, machine learning (ML) has garnered immense interest in the research community. However, these ML models turn out to be black boxes, which are tough to interpret, resulting in a direct decrease in productivity. Local Interpretable Model-Agnostic Explanations (LIME) is a popular technique for explaining the prediction of a single instance. Although LIME is simple and versatile, it suffers from instability in the generated explanations. In this paper, we propose a Gaussian Process (GP) based variation of locally interpretable models. We employ a smart sampling strategy based on the acquisition functions in Bayesian optimization. Further, we employ the automatic relevance determination based covariance function in GP, with separate length-scale parameters for each feature, where the reciprocal of lengthscale parameters serve as feature explanations. We illustrate the performance of the proposed technique on two real-world datasets, and demonstrate the superior stability of the proposed technique. Furthermore, we demonstrate that the proposed technique is able to generate faithful explanations using much fewer samples as compared to LIME.