



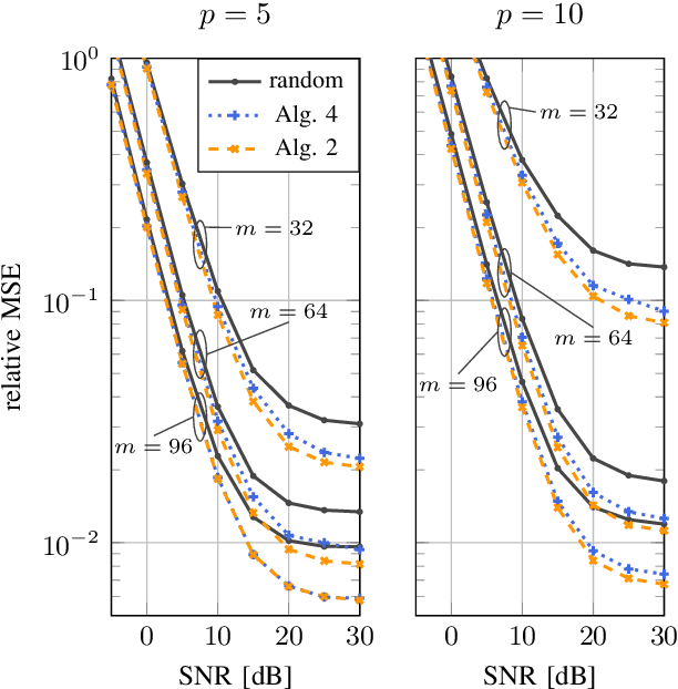
We introduce a learning-based algorithm to obtain a measurement matrix for compressive sensing related recovery problems. The focus lies on matrices with a constant modulus constraint which typically represent a network of analog phase shifters in hybrid precoding/combining architectures. We interpret a matrix with restricted isometry property as a mapping of points from a high- to a low-dimensional hypersphere. We argue that points on the low-dimensional hypersphere, namely, in the range of the matrix, should be uniformly distributed to increase robustness against measurement noise. This notion is formalized in an optimization problem which uses one of the maximum mean discrepancy metrics in the objective function. Recent success of such metrics in neural network related topics motivate a solution of the problem based on machine learning. Numerical experiments show better performance than random measurement matrices that are generally employed in compressive sensing contexts. Further, we adapt a method from the literature to the constant modulus constraint. This method can also compete with random matrices and it is shown to harmonize well with the proposed learning-based approach if it is used as an initialization. Lastly, we describe how other structural matrix constraints, e.g., a Toeplitz constraint, can be taken into account, too.