



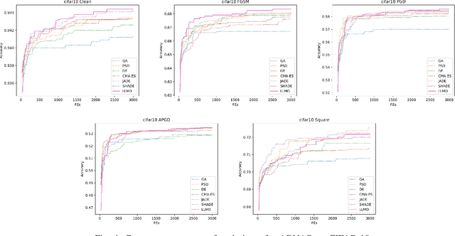
Motivated by the potential of large language models (LLMs) as optimizers for solving combinatorial optimization problems, this paper proposes a novel LLM-assisted optimizer (LLMO) to address adversarial robustness neural architecture search (ARNAS), a specific application of combinatorial optimization. We design the prompt using the standard CRISPE framework (i.e., Capacity and Role, Insight, Statement, Personality, and Experiment). In this study, we employ Gemini, a powerful LLM developed by Google. We iteratively refine the prompt, and the responses from Gemini are adapted as solutions to ARNAS instances. Numerical experiments are conducted on NAS-Bench-201-based ARNAS tasks with CIFAR-10 and CIFAR-100 datasets. Six well-known meta-heuristic algorithms (MHAs) including genetic algorithm (GA), particle swarm optimization (PSO), differential evolution (DE), and its variants serve as baselines. The experimental results confirm the competitiveness of the proposed LLMO and highlight the potential of LLMs as effective combinatorial optimizers. The source code of this research can be downloaded from \url{https://github.com/RuiZhong961230/LLMO}.