



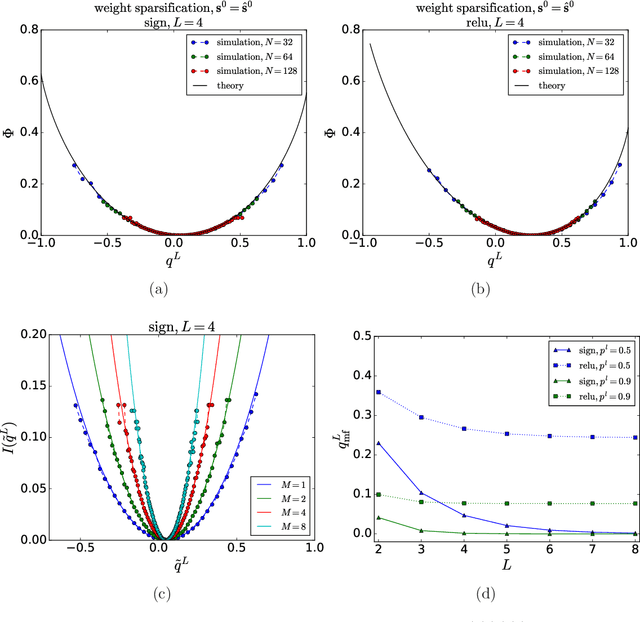
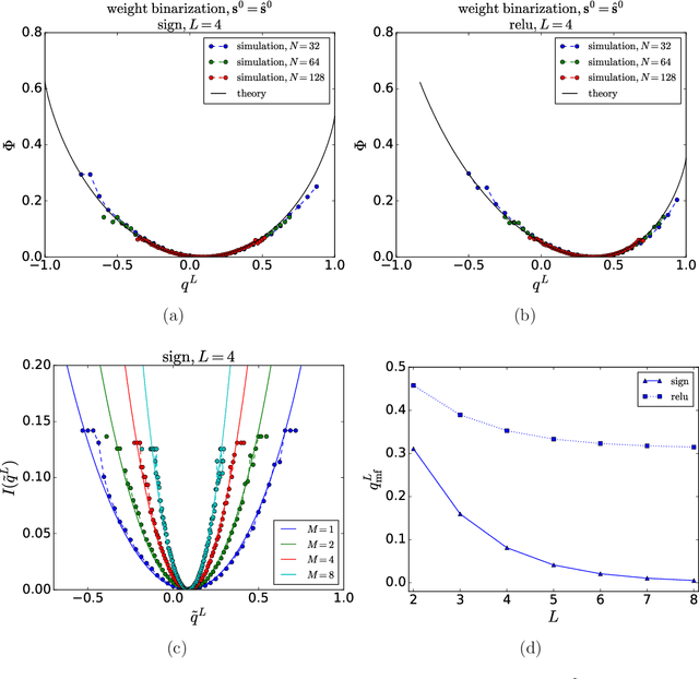
Mean field theory has been successfully used to analyze deep neural networks (DNN) in the infinite size limit. Given the finite size of realistic DNN, we utilize the large deviation theory and path integral analysis to study the deviation of functions represented by DNN from their typical mean field solutions. The parameter perturbations investigated include weight sparsification (dilution) and binarization, which are commonly used in model simplification, for both ReLU and sign activation functions. We find that random networks with ReLU activation are more robust to parameter perturbations with respect to their counterparts with sign activation, which arguably is reflected in the simplicity of the functions they generate.