


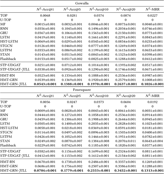
Sparsity of the User-POI matrix is a well established problem for next POI recommendation, which hinders effective learning of user preferences. Focusing on a more granular extension of the problem, we propose a Joint Triplet Loss Learning (JTLL) module for the Next New ($N^2$) POI recommendation task, which is more challenging. Our JTLL module first computes additional training samples from the users' historical POI visit sequence, then, a designed triplet loss function is proposed to decrease and increase distances of POI and user embeddings based on their respective relations. Next, the JTLL module is jointly trained with recent approaches to additionally learn unvisited relations for the recommendation task. Experiments conducted on two known real-world LBSN datasets show that our joint training module was able to improve the performances of recent existing works.