


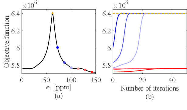
In this paper, we propose to simultaneously estimate all the sampling rate offsets (SROs) of multiple devices. In a distributed microphone array, the SRO is inevitable, which deteriorates the performance of array signal processing. Most of the existing SRO estimation methods focused on synchronizing two microphones. When synchronizing more than two microphones, we select one reference microphone and estimate the SRO of each non-reference microphone independently. Hence, the relationship among signals observed by non-reference microphones is not considered. To address this problem, the proposed method jointly optimizes all SROs based on a probabilistic model of a multichannel signal. The SROs and model parameters are alternately updated to increase the log-likelihood based on an auxiliary function. The effectiveness of the proposed method is validated on mixtures of various numbers of speakers.