


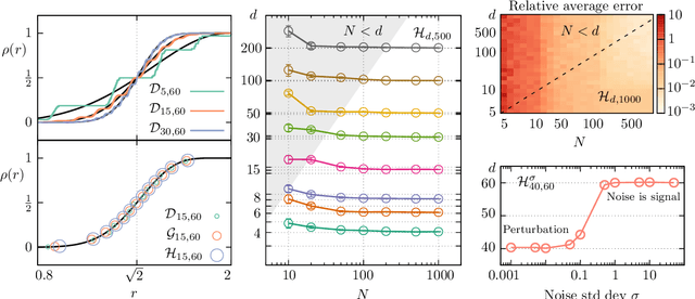
High-dimensional data are ubiquitous in contemporary science and finding methods to compress them is one of the primary goals of machine learning. Given a dataset lying in a high-dimensional space (in principle hundreds to several thousands of dimensions), it is often useful to project it onto a lower-dimensional manifold, without loss of information. Identifying the minimal dimension of such manifold is a challenging problem known in the literature as intrinsic dimension estimation (IDE). Traditionally, most IDE algorithms are either based on multiscale principal component analysis (PCA) or on the notion of correlation dimension (and more in general on k-nearest-neighbors distances). These methods are affected, in different ways, by a severe curse of dimensionality. In particular, none of the existing algorithms can provide accurate ID estimates in the extreme locally undersampled regime, i.e. in the limit where the number of samples in any local patch of the manifold is less than (or of the same order of) the ID of the dataset. Here we introduce a new ID estimator that leverages on simple properties of the tangent space of a manifold to overcome these shortcomings. The method is based on the full correlation integral, going beyond the limit of small radius used for the estimation of the correlation dimension. Our estimator alleviates the extreme undersampling problem, intractable with other methods. Based on this insight, we explore a multiscale generalization of the algorithm. We show that it is capable of (i) identifying multiple dimensionalities in a dataset, and (ii) providing accurate estimates of the ID of extremely curved manifolds. In particular, we test the method on manifolds generated from global transformations of high-contrast images, relevant for invariant object recognition and considered a challenge for state-of-the-art ID estimators.