



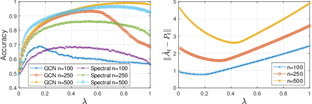
We study the problem of clustering nodes in a dynamic graph, where the connections between nodes and nodes' cluster memberships may change over time, e.g., due to community migration. We first propose a dynamic stochastic block model that captures these changes, and a simple decay-based clustering algorithm that clusters nodes based on weighted connections between them, where the weight decreases at a fixed rate over time. This decay rate can then be interpreted as signifying the importance of including historical connection information in the clustering. However, the optimal decay rate may differ for clusters with different rates of turnover. We characterize the optimal decay rate for each cluster and propose a clustering method that achieves almost exact recovery of the true clusters. We then demonstrate the efficacy of our clustering algorithm with optimized decay rates on simulated graph data. Recurrent neural networks (RNNs), a popular algorithm for sequence learning, use a similar decay-based method, and we use this insight to propose two new RNN-GCN (graph convolutional network) architectures for semi-supervised graph clustering. We finally demonstrate that the proposed architectures perform well on real data compared to state-of-the-art graph clustering algorithms.