



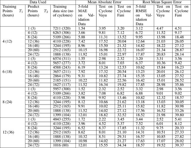
Tropical cyclones can be of varied intensity and cause a huge loss of lives and property if the intensity is high enough. Therefore, the prediction of the intensity of tropical cyclones advance in time is of utmost importance. We propose a novel stacked bidirectional long short-term memory network (BiLSTM) based model architecture to predict the intensity of a tropical cyclone in terms of Maximum surface sustained wind speed (MSWS). The proposed model can predict MSWS well advance in time (up to 72 h) with very high accuracy. We have applied the model on tropical cyclones in the North Indian Ocean from 1982 to 2018 and checked its performance on two recent tropical cyclones, namely, Fani and Vayu. The model predicts MSWS (in knots) for the next 3, 12, 24, 36, 48, 60, and 72 hours with a mean absolute error of 1.52, 3.66, 5.88, 7.42, 8.96, 10.15, and 11.92, respectively.