



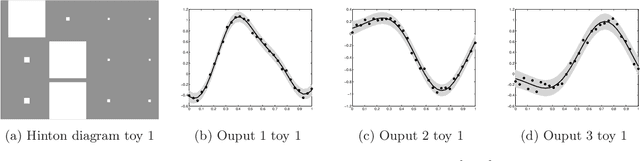
Multi-output Gaussian processes have received increasing attention during the last few years as a natural mechanism to extend the powerful flexibility of Gaussian processes to the setup of multiple output variables. The key point here is the ability to design kernel functions that allow exploiting the correlations between the outputs while fulfilling the positive definiteness requisite for the covariance function. Alternatives to construct these covariance functions are the linear model of coregionalization and process convolutions. Each of these methods demand the specification of the number of latent Gaussian process used to build the covariance function for the outputs. We propose in this paper, the use of an Indian Buffet process as a way to perform model selection over the number of latent Gaussian processes. This type of model is particularly important in the context of latent force models, where the latent forces are associated to physical quantities like protein profiles or latent forces in mechanical systems. We use variational inference to estimate posterior distributions over the variables involved, and show examples of the model performance over artificial data, a motion capture dataset, and a gene expression dataset.