



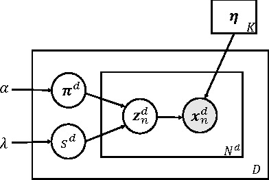
A semi-supervised Partial Membership Latent Dirichlet Allocation approach is developed for hyperspectral unmixing and endmember estimation while accounting for spectral variability and spatial information. Partial Membership Latent Dirichlet Allocation is an effective approach for spectral unmixing while representing spectral variability and leveraging spatial information. In this work, we extend Partial Membership Latent Dirichlet Allocation to incorporate any available (imprecise) label information to help guide unmixing. Experimental results on two hyperspectral datasets show that the proposed semi-supervised PM-LDA can yield improved hyperspectral unmixing and endmember estimation results.