



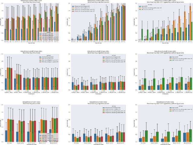
ICP algorithms typically involve a fixed choice of data association method and a fixed choice of error metric. In this paper, we propose Hybrid ICP, a novel and flexible ICP variant which dynamically optimises both the data association method and error metric based on the live image of an object and the current ICP estimate. We show that when used for object pose estimation, Hybrid ICP is more accurate and more robust to noise than other commonly used ICP variants. We also consider the setting where ICP is applied sequentially with a moving camera, and we study the trade-off between the accuracy of each ICP estimate and the number of ICP estimates available within a fixed amount of time.