



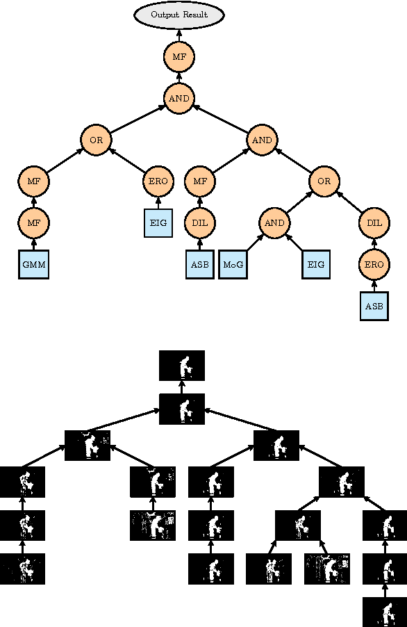
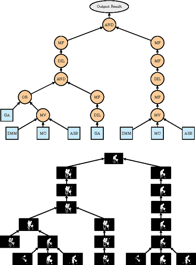
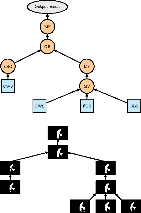
Given the existence of many change detection algorithms, each with its own peculiarities and strengths, we propose a combination strategy, that we termed IUTIS (In Unity There Is Strength), based on a genetic Programming framework. This combination strategy is aimed at leveraging the strengths of the algorithms and compensate for their weakness. In this paper we show our findings in applying the proposed strategy in two different scenarios. The first scenario is purely performance-based. The second scenario performance and efficiency must be balanced. Results demonstrate that starting from simple algorithms we can achieve comparable results with respect to more complex state-of-the-art change detection algorithms, while keeping the computational complexity affordable for real-time applications.