



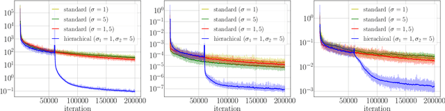
The neural network-based approach to solving partial differential equations has attracted considerable attention due to its simplicity and flexibility in representing the solution of the partial differential equation. In training a neural network, the network learns global features corresponding to low-frequency components while high-frequency components are approximated at a much slower rate. For a class of equations in which the solution contains a wide range of scales, the network training process can suffer from slow convergence and low accuracy due to its inability to capture the high-frequency components. In this work, we propose a hierarchical approach to improve the convergence rate and accuracy of the neural network solution to partial differential equations. The proposed method comprises multi-training levels in which a newly introduced neural network is guided to learn the residual of the previous level approximation. By the nature of neural networks' training process, the high-level correction is inclined to capture the high-frequency components. We validate the efficiency and robustness of the proposed hierarchical approach through a suite of linear and nonlinear partial differential equations.