



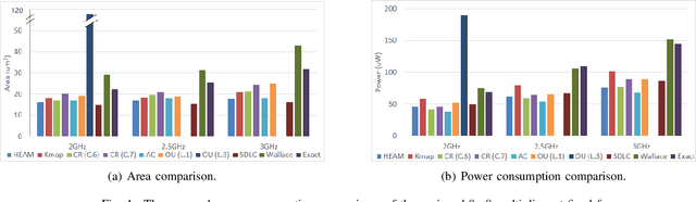
We propose an optimization method for the automatic design of approximate multipliers, which minimizes the average error according to the operand distributions. Our multiplier achieves up to 50.24% higher accuracy than the best reproduced approximate multiplier in DNNs, with 15.76% smaller area, 25.05% less power consumption, and 3.50% shorter delay. Compared with an exact multiplier, our multiplier reduces the area, power consumption, and delay by 44.94%, 47.63%, and 16.78%, respectively, with negligible accuracy losses. The tested DNN accelerator modules with our multiplier obtain up to 18.70% smaller area and 9.99% less power consumption than the original modules.