


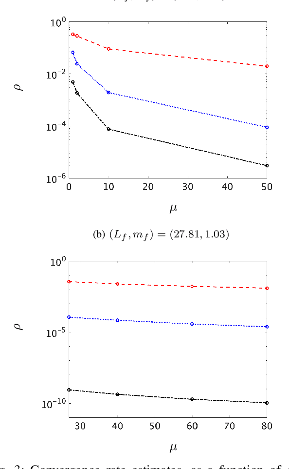
For a class of nonsmooth composite optimization problems with linear equality constraints, we utilize a Lyapunov-based approach to establish the global exponential stability of the primal-dual gradient flow dynamics based on the proximal augmented Lagrangian. The result holds when the differentiable part of the objective function is strongly convex with a Lipschitz continuous gradient; the non-differentiable part is proper, lower semi-continuous, and convex; and the matrix in the linear constraint is full row rank. Our quadratic Lyapunov function generalizes recent result from strongly convex problems with either affine equality or inequality constraints to a broader class of composite optimization problems with nonsmooth regularizers and it provides a worst-case lower bound of the exponential decay rate. Finally, we use computational experiments to demonstrate that our convergence rate estimate is less conservative than the existing alternatives.