



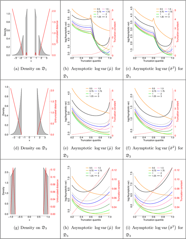
Estimation of density functions supported on general domains arises when the data is naturally restricted to a proper subset of the real space. This problem is complicated by typically intractable normalizing constants. Score matching provides a powerful tool for estimating densities with such intractable normalizing constants, but as originally proposed is limited to densities on $\mathbb{R}^m$ and $\mathbb{R}_+^m$. In this paper, we offer a natural generalization of score matching that accommodates densities supported on a very general class of domains. We apply the framework to truncated graphical and pairwise interaction models, and provide theoretical guarantees for the resulting estimators. We also generalize a recently proposed method from bounded to unbounded domains, and empirically demonstrate the advantages of our method.