



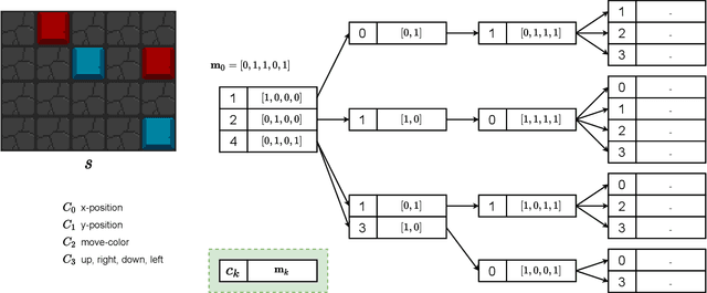
There are relatively few conventions followed in reinforcement learning (RL) environments to structure the action spaces. As a consequence the application of RL algorithms to tasks with large action spaces with multiple components require additional effort to adjust to different formats. In this paper we introduce {\em Conditional Action Trees} with two main objectives: (1) as a method of structuring action spaces in RL to generalise across several action space specifications, and (2) to formalise a process to significantly reduce the action space by decomposing it into multiple sub-spaces, favoring a multi-staged decision making approach. We show several proof-of-concept experiments validating our scheme, ranging from environments with basic discrete action spaces to those with large combinatorial action spaces commonly found in RTS-style games.