



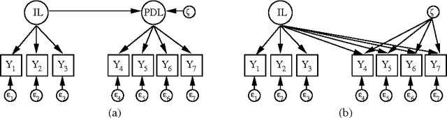
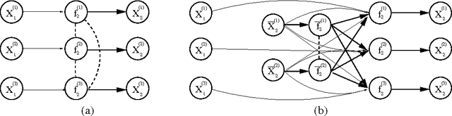
In a variety of disciplines such as social sciences, psychology, medicine and economics, the recorded data are considered to be noisy measurements of latent variables connected by some causal structure. This corresponds to a family of graphical models known as the structural equation model with latent variables. While linear non-Gaussian variants have been well-studied, inference in nonparametric structural equation models is still underdeveloped. We introduce a sparse Gaussian process parameterization that defines a non-linear structure connecting latent variables, unlike common formulations of Gaussian process latent variable models. The sparse parameterization is given a full Bayesian treatment without compromising Markov chain Monte Carlo efficiency. We compare the stability of the sampling procedure and the predictive ability of the model against the current practice.