



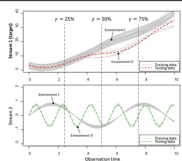
The advance of modern sensor technologies enables collection of multi-stream longitudinal data where multiple signals from different units are collected in real-time. In this article, we present a non-parametric approach to predict the evolution of multi-stream longitudinal data for an in-service unit through borrowing strength from other historical units. Our approach first decomposes each stream into a linear combination of eigenfunctions and their corresponding functional principal component (FPC) scores. A Gaussian process prior for the FPC scores is then established based on a functional semi-metric that measures similarities between streams of historical units and the in-service unit. Finally, an empirical Bayesian updating strategy is derived to update the established prior using real-time stream data obtained from the in-service unit. Experiments on synthetic and real world data show that the proposed framework outperforms state-of-the-art approaches and can effectively account for heterogeneity as well as achieve high predictive accuracy.