



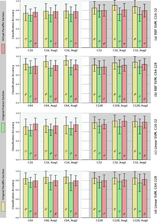
In contrast to paraffin sections, frozen sections can be quickly generated during surgical interventions. This procedure allows surgeons to wait for histological findings during the intervention to base intra-operative decisions on the outcome of the histology. However, compared to paraffin sections, the quality of frozen sections is typically lower, leading to a higher ratio of miss-classification. In this work, we investigated the effect of the section type on automated decision support approaches for classification of thyroid cancer. This was enabled by a data set consisting of pairs of sections for individual patients. Moreover, we investigated, whether a frozen-to-paraffin translation could help to optimize classification scores. Finally, we propose a specific data augmentation strategy to deal with a small amount of training data and to increase classification accuracy even further.