



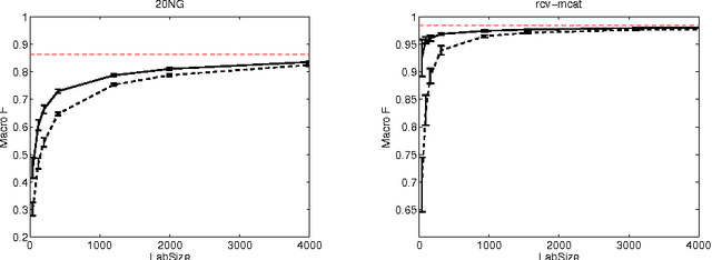
Transductive SVM (TSVM) is a well known semi-supervised large margin learning method for binary text classification. In this paper we extend this method to multi-class and hierarchical classification problems. We point out that the determination of labels of unlabeled examples with fixed classifier weights is a linear programming problem. We devise an efficient technique for solving it. The method is applicable to general loss functions. We demonstrate the value of the new method using large margin loss on a number of multi-class and hierarchical classification datasets. For maxent loss we show empirically that our method is better than expectation regularization/constraint and posterior regularization methods, and competitive with the version of entropy regularization method which uses label constraints.