



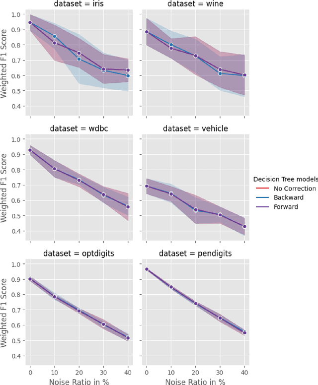
In the real world, data is often noisy, affecting not only the quality of features but also the accuracy of labels. Current research on mitigating label errors stems primarily from advances in deep learning, and a gap exists in exploring interpretable models, particularly those rooted in decision trees. In this study, we investigate whether ideas from deep learning loss design can be applied to improve the robustness of decision trees. In particular, we show that loss correction and symmetric losses, both standard approaches, are not effective. We argue that other directions need to be explored to improve the robustness of decision trees to label noise.