



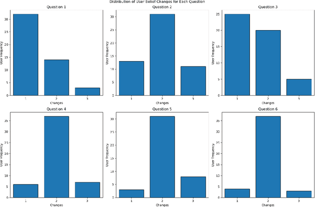
In belief revision, agents typically modify their beliefs when they receive some new piece of information that is in conflict with them. The guiding principle behind most belief revision frameworks is that of minimalism, which advocates minimal changes to existing beliefs. However, minimalism may not necessarily capture the nuanced ways in which human agents reevaluate and modify their beliefs. In contrast, the explanatory hypothesis indicates that people are inherently driven to seek explanations for inconsistencies, thereby striving for explanatory coherence rather than minimal changes when revising beliefs. Our contribution in this paper is two-fold. Motivated by the explanatory hypothesis, we first present a novel, yet simple belief revision operator that, given a belief base and an explanation for an explanandum, it revises the belief bases in a manner that preserves the explanandum and is not necessarily minimal. We call this operator explanation-based belief revision. Second, we conduct two human-subject studies to empirically validate our approach and investigate belief revision behavior in real-world scenarios. Our findings support the explanatory hypothesis and provide insights into the strategies people employ when resolving inconsistencies.