



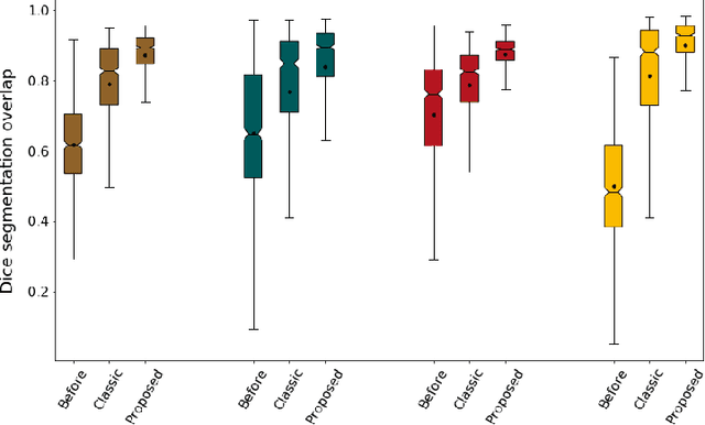
While deep learning has achieved significant advances in accuracy for medical image segmentation, its benefits for deformable image registration have so far remained limited to reduced computation times. Previous work has either focused on replacing the iterative optimization of distance and smoothness terms with CNN-layers or using supervised approaches driven by labels. Our method is the first to combine the complementary strengths of global semantic information (represented by segmentation labels) and local distance metrics that help align surrounding structures. We demonstrate significant higher Dice scores (of 86.5\%) for deformable cardiac image registration compared to classic registration (79.0\%) as well as label-driven deep learning frameworks (83.4\%).