



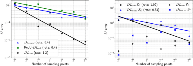
We propose a deep supervised learning algorithm based on low-discrepancy sequences as the training set. By a combination of theoretical arguments and extensive numerical experiments we demonstrate that the proposed algorithm significantly outperforms standard deep learning algorithms that are based on randomly chosen training data, for problems in moderately high dimensions. The proposed algorithm provides an efficient method for building inexpensive surrogates for many underlying maps in the context of scientific computing.