



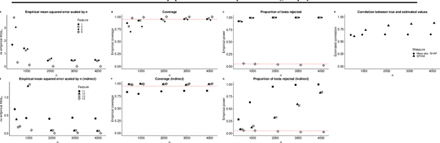
The true population-level importance of a variable in a prediction task provides useful knowledge about the underlying data-generating mechanism and can help in deciding which measurements to collect in subsequent experiments. Valid statistical inference on this importance is a key component in understanding the population of interest. We present a computationally efficient procedure for estimating and obtaining valid statistical inference on the Shapley Population Variable Importance Measure (SPVIM). Although the computational complexity of the true SPVIM scales exponentially with the number of variables, we propose an estimator based on randomly sampling only $\Theta(n)$ feature subsets given $n$ observations. We prove that our estimator converges at an asymptotically optimal rate. Moreover, by deriving the asymptotic distribution of our estimator, we construct valid confidence intervals and hypothesis tests. Our procedure has good finite-sample performance in simulations, and for an in-hospital mortality prediction task produces similar variable importance estimates when different machine learning algorithms are applied.