

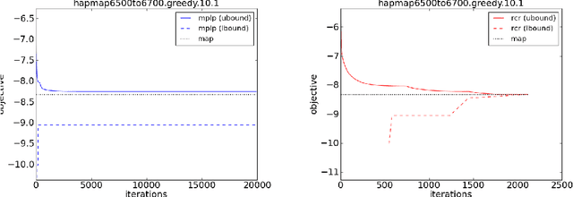
Relax, Compensate and then Recover (RCR) is a paradigm for approximate inference in probabilistic graphical models that has previously provided theoretical and practical insights on iterative belief propagation and some of its generalizations. In this paper, we characterize the technique of dual decomposition in the terms of RCR, viewing it as a specific way to compensate for relaxed equivalence constraints. Among other insights gathered from this perspective, we propose novel heuristics for recovering relaxed equivalence constraints with the goal of incrementally tightening dual decomposition approximations, all the way to reaching exact solutions. We also show empirically that recovering equivalence constraints can sometimes tighten the corresponding approximation (and obtaining exact results), without increasing much the complexity of inference.