



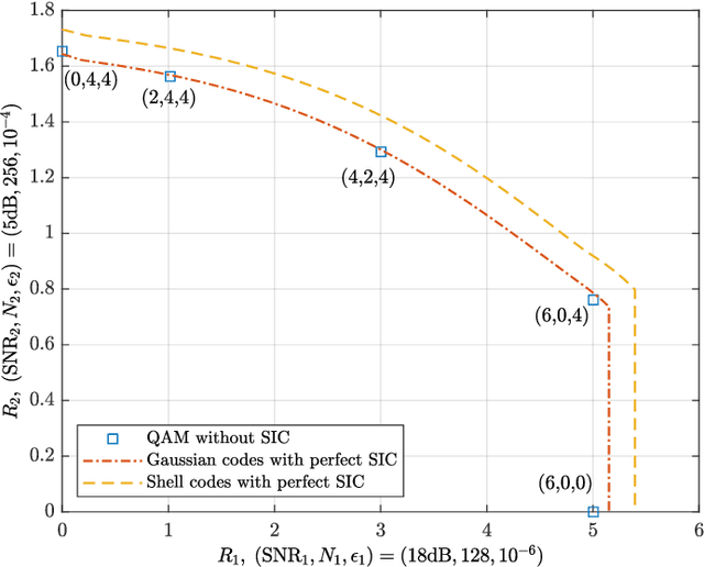
The problem of designing downlink transmission schemes for supporting heterogeneous ultra-reliable low-latency communications (URLLC) and/or with other types of services is investigated. We consider the broadcast channel, where the base station sends superimposed signals to multiple users. Under heterogeneous blocklength constraints, strong users who are URLLC users cannot wait to receive the entire transmission frame and perform successive interference cancellation (SIC) due to stringent latency requirements, in contrast to the conventional infinite blocklength cases. Even if SIC is feasible, SIC may be imperfect under finite blocklength constraints. To cope with the heterogeneity in latency and reliability requirements, we propose a practical downlink transmission scheme with discrete signaling and single-user decoding (SUD), i.e., without SIC. We carefully design the discrete input distributions to enable efficient SUD by exploiting the structural interference. Furthermore, we derive the second-order achievable rate under heterogenous blocklength and error probability constraints and use it to guide the design of channel coding and modulations. It is shown that in terms of achievable rate under short blocklength, the proposed scheme with regular quadrature amplitude modulations and SUD can operate extremely close to the benchmark schemes that assume perfect SIC with Gaussian signaling.