



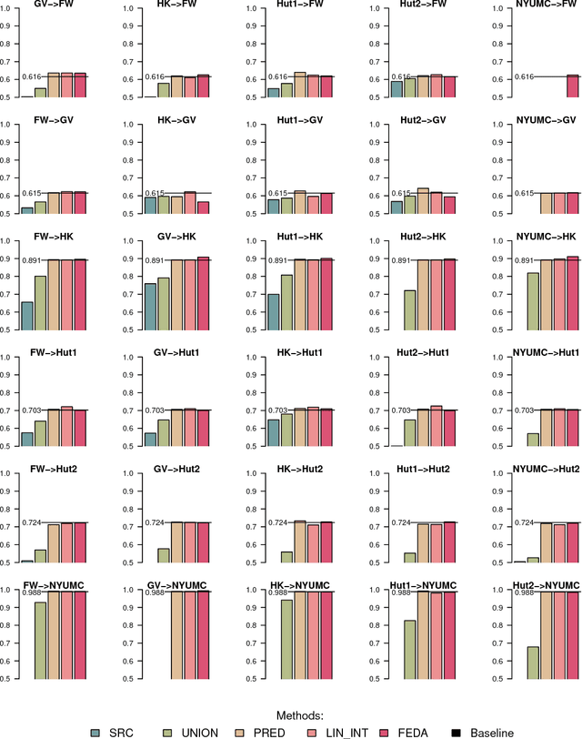
Acute respiratory infections have epidemic and pandemic potential and thus are being studied worldwide, albeit in many different contexts and study formats. Predicting infection from symptom data is critical, though using symptom data from varied studies in aggregate is challenging because the data is collected in different ways. Accordingly, different symptom profiles could be more predictive in certain studies, or even symptoms of the same name could have different meanings in different contexts. We assess state-of-the-art transfer learning methods for improving prediction of infection from symptom data in multiple types of health care data ranging from clinical, to home-visit as well as crowdsourced studies. We show interesting characteristics regarding six different study types and their feature domains. Further, we demonstrate that it is possible to use data collected from one study to predict infection in another, at close to or better than using a single dataset for prediction on itself. We also investigate in which conditions specific transfer learning and domain adaptation methods may perform better on symptom data. This work has the potential for broad applicability as we show how it is possible to transfer learning from one public health study design to another, and data collected from one study may be used for prediction of labels for another, even collected through different study designs, populations and contexts.