



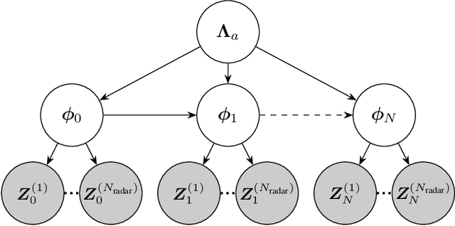
We propose a distributed joint localization and tracking algorithm using a message passing framework, for multiple-input multiple-output radars. We employ the mean field approach to derive an iterative algorithm. The obtained algorithm features a small communication overhead that scales linearly with the number of radars in the system. The proposed algorithm shows good estimation accuracy in two simulated scenarios even below 0 dB signal to noise ratio. In both cases the ground truth falls within the 95 % confidence interval of the estimated posterior for the majority of the track.