



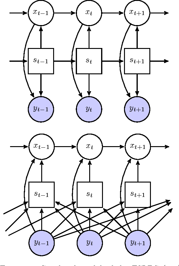
We present a Discriminative Switching Linear Dynamical System (DSLDS) applied to patient monitoring in Intensive Care Units (ICUs). Our approach is based on identifying the state-of-health of a patient given their observed vital signs using a discriminative classifier, and then inferring their underlying physiological values conditioned on this status. The work builds on the Factorial Switching Linear Dynamical System (FSLDS) (Quinn et al., 2009) which has been previously used in a similar setting. The FSLDS is a generative model, whereas the DSLDS is a discriminative model. We demonstrate on two real-world datasets that the DSLDS is able to outperform the FSLDS in most cases of interest, and that an $\alpha$-mixture of the two models achieves higher performance than either of the two models separately.