



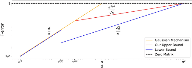
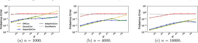
In this paper, we present three new error bounds, in terms of the Frobenius norm, for covariance estimation under differential privacy: (1) a worst-case bound of $\tilde{O}(d^{1/4}/\sqrt{n})$, which improves the standard Gaussian mechanism $\tilde{O}(d/n)$ for the regime $d>\widetilde{\Omega}(n^{2/3})$; (2) a trace-sensitive bound that improves the state of the art by a $\sqrt{d}$-factor, and (3) a tail-sensitive bound that gives a more instance-specific result. The corresponding algorithms are also simple and efficient. Experimental results show that they offer significant improvements over prior work.