



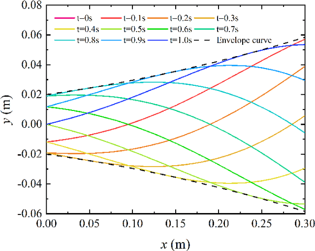
Robotic fish is one of the most promising directions of the new generation of underwater vehicles. Traditional biomimetic fish often mimic fish joints using tandem components like servos, which leads to increased volume, weight and control complexity. In this paper, a new double-joint robotic fish using a composite linkage was designed, where the propulsion mechanism transforms the single-degree-of-freedom rotation of the motor into a double-degree-of-freedom coupled motion, namely caudal peduncle translation and caudal fin rotation. Motion analysis of the propulsion mechanism demonstrates its ability to closely emulate the undulating movement observed in carangiform fish. Experimental results further validate the feasibility of the proposed propulsion mechanism. To improve propulsion efficiency, an analysis is conducted to explore the influence of swing angle amplitude and swing frequency on the swimming speed of the robotic fish. This examination establishes a practical foundation for future research on such robotic fish systems.