



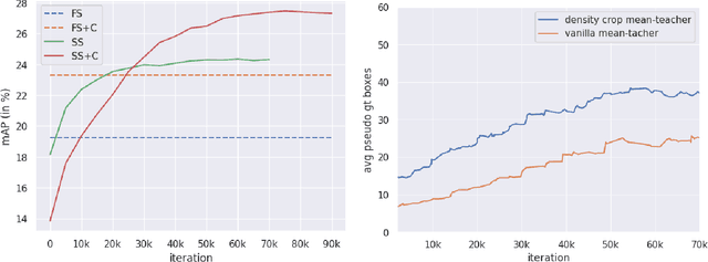
One of the important bottlenecks in training modern object detectors is the need for labeled images where bounding box annotations have to be produced for each object present in the image. This bottleneck is further exacerbated in aerial images where the annotators have to label small objects often distributed in clusters on high-resolution images. In recent days, the mean-teacher approach trained with pseudo-labels and weak-strong augmentation consistency is gaining popularity for semi-supervised object detection. However, a direct adaptation of such semi-supervised detectors for aerial images where small clustered objects are often present, might not lead to optimal results. In this paper, we propose a density crop-guided semi-supervised detector that identifies the cluster of small objects during training and also exploits them to improve performance at inference. During training, image crops of clusters identified from labeled and unlabeled images are used to augment the training set, which in turn increases the chance of detecting small objects and creating good pseudo-labels for small objects on the unlabeled images. During inference, the detector is not only able to detect the objects of interest but also regions with a high density of small objects (density crops) so that detections from the input image and detections from image crops are combined, resulting in an overall more accurate object prediction, especially for small objects. Empirical studies on the popular benchmarks of VisDrone and DOTA datasets show the effectiveness of our density crop-guided semi-supervised detector with an average improvement of more than 2\% over the basic mean-teacher method in COCO style AP. Our code is available at: https://github.com/akhilpm/DroneSSOD.