



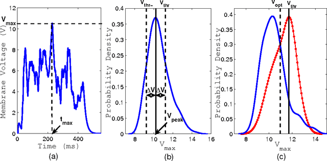
We present a neuromorphic spiking neural network, the DELTRON, that can remember and store patterns by changing the delays of every connection as opposed to modifying the weights. The advantage of this architecture over traditional weight based ones is simpler hardware implementation without multipliers or digital-analog converters (DACs) as well as being suited to time-based computing. The name is derived due to similarity in the learning rule with an earlier architecture called Tempotron. The DELTRON can remember more patterns than other delay-based networks by modifying a few delays to remember the most 'salient' or synchronous part of every spike pattern. We present simulations of memory capacity and classification ability of the DELTRON for different random spatio-temporal spike patterns. The memory capacity for noisy spike patterns and missing spikes are also shown. Finally, we present SPICE simulation results of the core circuits involved in a reconfigurable mixed signal implementation of this architecture.