
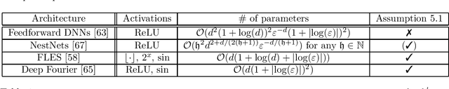
We establish universality and expression rate bounds for a class of neural Deep Operator Networks (DON) emulating Lipschitz (or H\"older) continuous maps $\mathcal G:\mathcal X\to\mathcal Y$ between (subsets of) separable Hilbert spaces $\mathcal X$, $\mathcal Y$. The DON architecture considered uses linear encoders $\mathcal E$ and decoders $\mathcal D$ via (biorthogonal) Riesz bases of $\mathcal X$, $\mathcal Y$, and an approximator network of an infinite-dimensional, parametric coordinate map that is Lipschitz continuous on the sequence space $\ell^2(\mathbb N)$. Unlike previous works ([Herrmann, Schwab and Zech: Neural and Spectral operator surrogates: construction and expression rate bounds, SAM Report, 2022], [Marcati and Schwab: Exponential Convergence of Deep Operator Networks for Elliptic Partial Differential Equations, SAM Report, 2022]), which required for example $\mathcal G$ to be holomorphic, the present expression rate results require mere Lipschitz (or H\"older) continuity of $\mathcal G$. Key in the proof of the present expression rate bounds is the use of either super-expressive activations (e.g. [Yarotski: Elementary superexpressive activations, Int. Conf. on ML, 2021], [Shen, Yang and Zhang: Neural network approximation: Three hidden layers are enough, Neural Networks, 2021], and the references there) which are inspired by the Kolmogorov superposition theorem, or of nonstandard NN architectures with standard (ReLU) activations as recently proposed in [Zhang, Shen and Yang: Neural Network Architecture Beyond Width and Depth, Adv. in Neural Inf. Proc. Sys., 2022]. We illustrate the abstract results by approximation rate bounds for emulation of a) solution operators for parametric elliptic variational inequalities, and b) Lipschitz maps of Hilbert-Schmidt operators.