



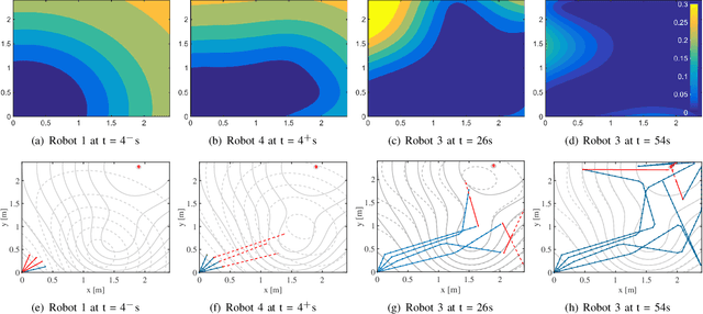
Swarm robotic search is concerned with searching targets in unknown environments (e.g., for search and rescue or hazard localization), using a large number of collaborating simple mobile robots. In such applications, decentralized swarm systems are touted for their task/coverage scalability, time efficiency, and fault tolerance. To guide the behavior of such swarm systems, two broad classes of approaches are available, namely nature-inspired swarm heuristics and multi-robotic search methods. However, simultaneously offering computationally-efficient scalability and fundamental insights into the exhibited behavior (instead of a black-box behavior model), remains challenging under either of these two class of approaches. In this paper, we develop an important extension of the batch Bayesian search method for application to embodied swarm systems, searching in a physical 2D space. Key contributions lie in: 1) designing an acquisition function that not only balances exploration and exploitation across the swarm, but also allows modeling knowledge extraction over trajectories; and 2) developing its distributed implementation to allow asynchronous task inference and path planning by the swarm robots. The resulting collective informative path planning approach is tested on target search case studies of varying complexity, where the target produces a spatially varying (measurable) signal. Significantly superior performance, in terms of mission completion efficiency, is observed compared to exhaustive search and random walk baselines, along with favorable performance scalability with increasing swarm size.