



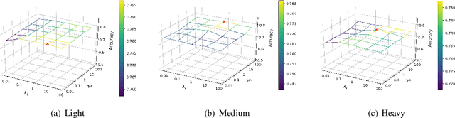
Most existing Graph Neural Networks (GNNs) are proposed without considering the selection bias in data, i.e., the inconsistent distribution between the training set with test set. In reality, the test data is not even available during the training process, making selection bias agnostic. Training GNNs with biased selected nodes leads to significant parameter estimation bias and greatly impacts the generalization ability on test nodes. In this paper, we first present an experimental investigation, which clearly shows that the selection bias drastically hinders the generalization ability of GNNs, and theoretically prove that the selection bias will cause the biased estimation on GNN parameters. Then to remove the bias in GNN estimation, we propose a novel Debiased Graph Neural Networks (DGNN) with a differentiated decorrelation regularizer. The differentiated decorrelation regularizer estimates a sample weight for each labeled node such that the spurious correlation of learned embeddings could be eliminated. We analyze the regularizer in causal view and it motivates us to differentiate the weights of the variables based on their contribution on the confounding bias. Then, these sample weights are used for reweighting GNNs to eliminate the estimation bias, thus help to improve the stability of prediction on unknown test nodes. Comprehensive experiments are conducted on several challenging graph datasets with two kinds of label selection biases. The results well verify that our proposed model outperforms the state-of-the-art methods and DGNN is a flexible framework to enhance existing GNNs.