



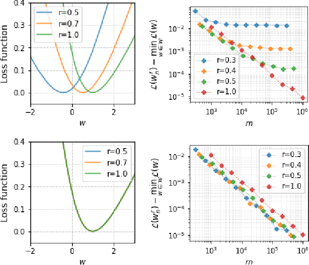
Data pruning algorithms are commonly used to reduce the memory and computational cost of the optimization process. Recent empirical results reveal that random data pruning remains a strong baseline and outperforms most existing data pruning methods in the high compression regime, i.e., where a fraction of $30\%$ or less of the data is kept. This regime has recently attracted a lot of interest as a result of the role of data pruning in improving the so-called neural scaling laws; in [Sorscher et al.], the authors showed the need for high-quality data pruning algorithms in order to beat the sample power law. In this work, we focus on score-based data pruning algorithms and show theoretically and empirically why such algorithms fail in the high compression regime. We demonstrate ``No Free Lunch" theorems for data pruning and present calibration protocols that enhance the performance of existing pruning algorithms in this high compression regime using randomization.